Prediction of the appearance of tree of heaven in forest communities in western Slovenia

Authors

  • Andraž Čarni Research Centre of the Slovenian Academy of Sciences and Arts, Institute of Biology http://orcid.org/0000-0002-8909-4298
  • Nina Juvan Mastnak Research Centre of the Slovenian Academy of Sciences and Arts
  • Igor Dakskobler Research Centre of the Slovenian Academy of Sciences and Arts, Institute of Biology
  • Lado Kutnar Slovenian Forestry Institute
  • Aleksander Marinšek Slovenian Forestry Institute
  • Urban Šilc Research Centre of the Slovenian Academy of Sciences and Arts, Institute of Biology

DOI:

https://doi.org/10.18054/pb.v119i4.4483

Abstract

Background and Purpose: Tree of heaven (Ailanthus altissima) is one of the most invasive tree species in Slovenia. Since its invasion into forests is expected, we must raise public awareness and prepare guidelines for forest management in the presence of invasive species. The aim of the research was to predict the potential distribution of tree of heaven, to detect the most endangered forest communities and to discover what characteristics of forest stands make them susceptible.

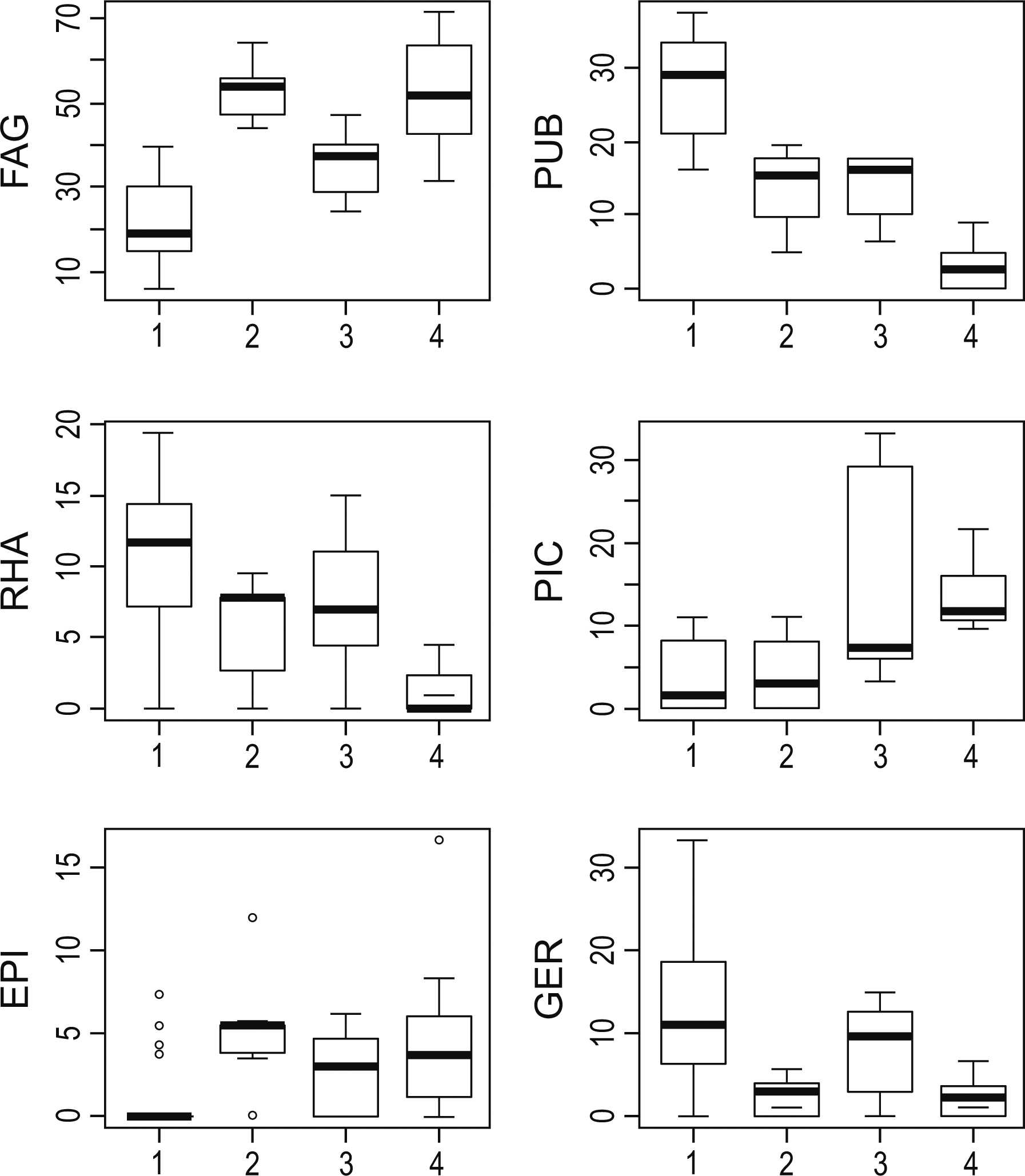
Materials and methods: From databases, literature sources and field observations, we collected all localities in which tree of heaven appears. We assigned these localities geological, geomorphological, soil and climatic data. We then built an ecological model and prepared a map of potential distribution. Based on the modelled future distribution of tree of heaven, we randomly selected and sampled 50 plots in the area in which invasion is expected and beyond this area. We analyzed their morphological and ecological strategies, ecological condition, origin and social behavior spectrum.

Results: We found that it has the largest invasive potential in western Slovenia. The model showed that the most susceptible forest communities appear in warm areas with pronounced climatic seasonality. Many differences occur in floristics and plant traits of forest communities in extreme positions, in terms of susceptibility to invasion, but in transitional areas, these differences are not so obvious, only a higher pH of soil and absence of species characteristic of acidophilus communities are an indicator of vulnerability.

Conclusion: Susceptibility to invasion by tree of heaven is mainly influenced by macro-climatic conditions; in the transitional zone, communities thriving on shallow, carbonate bedrock are more vulnerable.

Downloads

Published

2018-01-31

Issue

Section

Articles